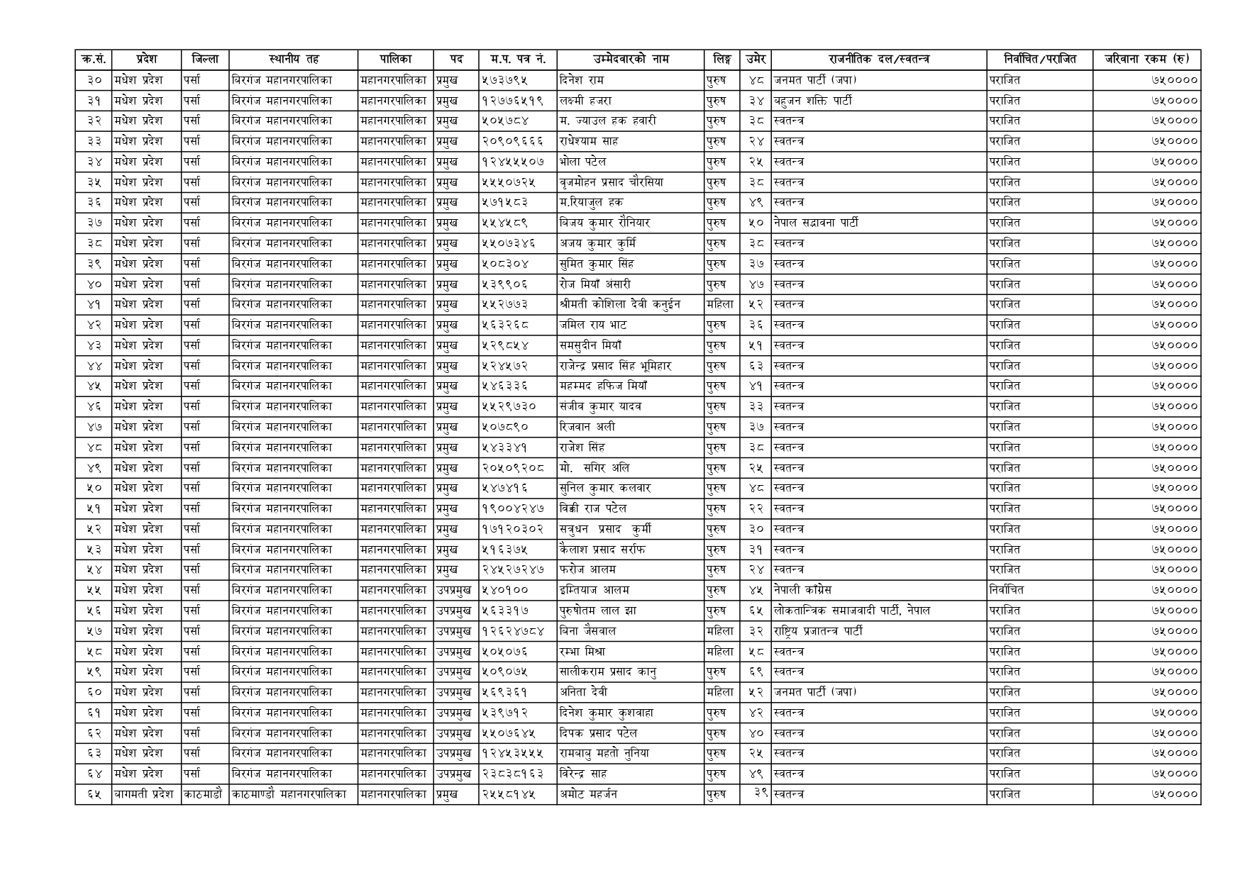
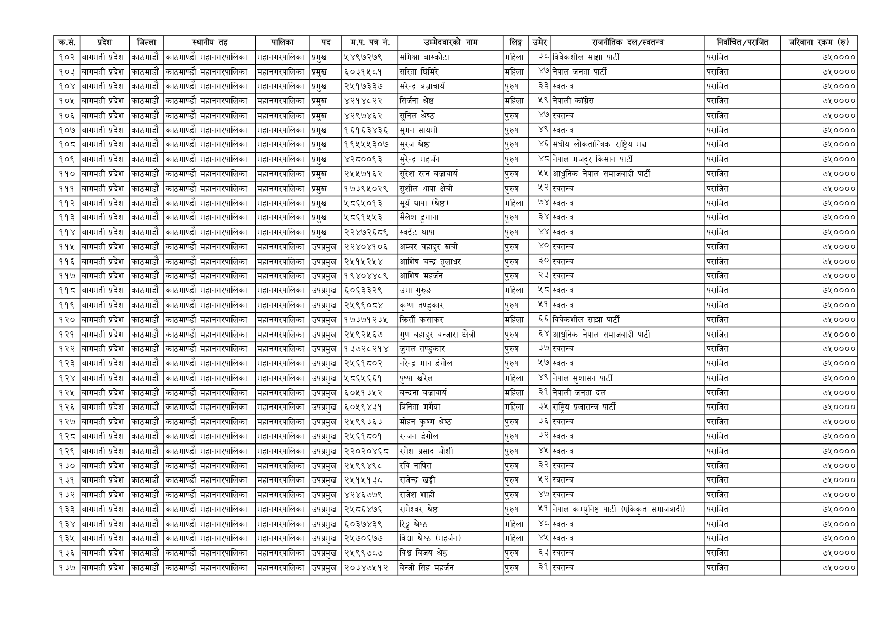
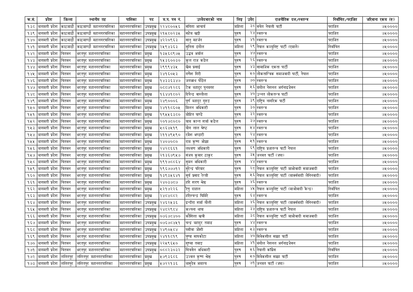
बालेन-सुनितासहित ६ महानगरका २०८ उम्मेदवार निर्वाचन आयोगको कारबाहीमा
काठमाडौँ । २०७९ को स्थानीय तह निर्वाचनको क्रममा उम्मेदवार बनेका ६ महानगरका २०८ जना उम्मेदवार कारबाहीमा पर्ने भएका छन् । २०७९ मा उम्मेदवार भई कानून बमोजिम निर्वाचन खर्चको विवरण नबुझाउने तथा विलम्ब गरी बुझाउने उम्मेदवार निर्वाचन आयोगको कारबाहीमा पर्ने भएका हुन् । निर्वाचन आयोग ऐन, २०७३ को दफा २४ मा चुनावमा उम्मेदवार भएका व्यक्तिहरुले आयोगले तोकेको समय सीमाभित्र खर्चको विवरण बुझाई सक्नुपर्ने व्यवस्था छ ।
आयोगले २०७९ को स्थानिय तहको निर्वाचनको सन्दर्भमा २०७९ भदौ १ गते गोरखापत्रमा ७ दिनभित्र खर्चको विवरण विलम्ब गरी बुझाउनेहरुलाई स्पष्टिकरण पेश गर्नुपर्ने सूचना निकालेको थियो । सो समयावधिमा निर्वाचन आयोगमा पेश भएका स्पष्टिकरणको व्यहोरा चित्त बुझ्दो नदेखिएको र स्पष्टिकरण नआएको भन्दै निर्वाचन आयोगले कारबाहीमा परेका २०८ जनाको सूची निकालेको छ ।
यो सूचीमा काठमाडौँ महानगरपालिकाका निर्वाचित मेयर/उपमेयर बालेन्द्र शाह र सुनिता डंगोल, विराटनगर महानगरपालिकाका निर्वाचित मेयर/उपमेयर नागेश कोइराला र शिल्पा कार्की, भरतपुर महानगरपालिकाका निर्वाचित मेयर/उपमेयर रेणु दाहाल र चित्रसेन अधिकारी, पोखरा महानगरपालिकाका निर्वाचित मेयर धनराज आचार्य, वीरगञ्ज महानगरपालिकाका मेयर/उपमेयर राजेशमान सिंह र ईम्तियाज आलमलगायतका जनप्रतिनिधि समावेश छन् । आयोगका अनुसार यसरी कारबाहीमा पर्नेले निर्वाचन आयोग ऐन, २०७३ को दफा २६ को उपदफा १ अनुसार जनही ७ लाख ५० हजार जरिवाना तिर्नुपर्ने छ ।
कारबाहीमा पर्नेको सूची:






