गगनको हातबाट टिकट लिएर पूर्णबहादुर खड्का चुनाव नलड्ने, प्रचारमा जाने
काठमाडौं । नेपाली कांग्रेसका वरिष्ठ नेता पूर्णबहादुर खड्का आगामी प्रतिनिधिसभा निर्वाचन नलड्ने भएका छन् । पार्टीभित्रको पछिल्लो घटनाक्रम र रणनीतिक विचारविमर्शपछि उनले २१ फागुनमा हुने निर्वाचनमा उम्मेदवारी दर्ता नगर्ने निर्णय गरेका हुन् ।
निवर्तमान कार्यवाहक सभापति खड्का सुर्खेत–१ बाट प्रतिनिधिसभा सदस्यको उम्मेदवारीका लागि सिफारिसमा परेका थिए । तर, निकट स्रोतले पुष्टि गरे अनुसार, उनले चुनाव नलड्ने भए पनि देशभर पार्टीको प्रचार–प्रसारमा सक्रिय भूमिका निर्वाह गर्ने छन् । एक निकट नेताले भने, ‘पूर्ण दाइ चुनाव लड्नु हुन्न, तर पार्टीलाई जिताउन देशभर प्रचारमा जानुहुन्छ । अदालतको निर्णय जुनसुकै भए पनि पार्टीलाई एकढिक्का बनाउन आफ्नो निकट नेताहरूसँग तयारीमा छन् ।’
उनले सर्वोच्च अदालतमा दायर गरेको मुद्दाको नतिजा अनुसार दुवै पक्षलाई एकढिक्का राख्ने रणनीति तय गरेका छन् ।
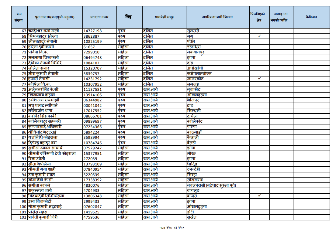
एक नेताले भने, ‘यदि अदालतले गगनजीको पक्षमा निर्णय गर्यो भने सबैलाई मिलाएर पार्टीलाई एकढिक्का राख्ने, संस्थापनको पक्षमा आयो भने गगनजीहरूलाई पनि समेटेर पार्टी एकढिक्का बनाइन्छ ।’ यसैबीच समानुपातिक उम्मेदवार सूचीमा नेपाली कांग्रेसका ११० जना उम्मेदवार सार्वजनिक भएका छन् । निर्वाचन आयोगले आइतबार राति बन्दसूची जारी गरेको हो । सूची अनुसार विभिन्न जात, समुदाय र लिङ्गको प्रतिनिधित्व सुनिश्चित गरिएको छ ।
सूचीमा सबै जातीय, समुदायिक र लैंगिक प्रतिनिधित्व सुनिश्चित गरिएको हुँदा आगामी निर्वाचनमा पार्टीको समानुपातिक रणनीति स्पष्ट देखिन्छ । पूर्णबहादुर खड्काको चुनाव नलड्ने निर्णय र समानुपातिक सूचीको सार्वजनिक भएपछि कांग्रेसको रणनीति अब प्रचार र संगठन सुदृढीकरणतर्फ केन्द्रित हुने देखिन्छ ।
प्रमुख क्लस्टर र पहिलो नम्बरका उम्मेदवारहरु

